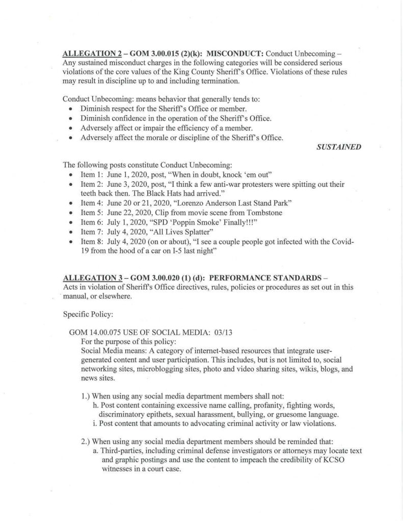
Only July 6th, 2020, the King County Sheriff’s Office initiated an internal investigation after receiving an unprecedented number of complaints from community members regarding social media posts made by former detective Michael Brown.
On November 9th, Michael Brown exercised his right, per a collective bargaining agreement, to an in-person hearing with Sheriff Mitzi G Johanknecht to provide his perspective. The discipline proposed to the Sheriff was termination of Brown’s employment with the King County Sheriff’s Office.
Sheriff Johanknecht, following a thoughtful and comprehensive review of the facts of this investigation, concluded the posts, and the overwhelming negative response, “badly damaged confidence and trust in the Sheriff’s Office.” The Sheriff further noted, “Several of your posts endorsed and advocated unnecessary/excessive use of force and violence. They demonstrated extreme indifference to life and racial equity.”
Concluding Mr. Brown could no longer effectively serve as a law enforcement officer, Sheriff Johanknecht decided to terminate Brown’s employment, effective today, February 12th, 2021.
Sheriff Johanknecht’s Final Loudermill Results letter, including her detailed analysis, is below. Brown is entitled to challenge his termination, through a union grievance procedure.









Also available: here.
























Be First to Comment